EE 313 Linear Systems and Signals - Lecture 15
Lecture by Prof. Brian L. Evans
Before Lecture
- "What is 5G?",
"The Daily Planet", Discovery Channel, April 12, 2018,
featuring Dr. Arun Ghosh (AT&T Labs, Austin, TX) and
Mr. Sean McShane (Discovery Channel).
- Since 2006, capabilities of cellular and Wi-Fi systems have dramatically
increased to meet the exponential growth in the demand for global mobile data
traffic.
Global mobile data traffic, which accounts for about half of the Web traffic today,
increased 4000x from 2006 to 2016, or 2.3x per year
(News story) and
7x from 2017 to 2022 (projected), or 1.46x per year
(Forecast).
Announcements
- Homework #9
is due on Friday, Dec. 5th by 11:59pm, through GradeScope submission.
- Lecture slides on Continuous-Time Fourier Transforms in
PowerPoint format.
- Fall 2018 Notes by Mr. Houshang Salimian (TA):
Part 1 -
Part 2
- Fall 2024
- Fall 2023
- Fall 2021
- "The more general uncertainty principle, beyond quantum",
3Blue1Brown, Feb. 24, 2018.
The video provides audio and radar examples.
Here are some of the connections made by the video to the idea that
the longer we observe a signal, the more accurately we know its frequency content:
- We can model the amount of time in our observation as a rectangular pulse of
width tau.
Its frequency content is a sinc pulse whose passband is centered at
0 rad/s and is 2 pi / tau rad/s wide (lecture slide 15-6).
We determine the passband width by measuring the width where the magnitude
response is at half of the maximum value.
As the amount of observation time increases, the passband width decreases and hence the resolution increases.
- An extreme case is a Dirac delta in time that contains all frequencies
with equal strength (lecture slide 11-4).
- Another extreme case is a Dirac delta in the frequency domain is a
constant signal over all time (lecture slide 15-7).
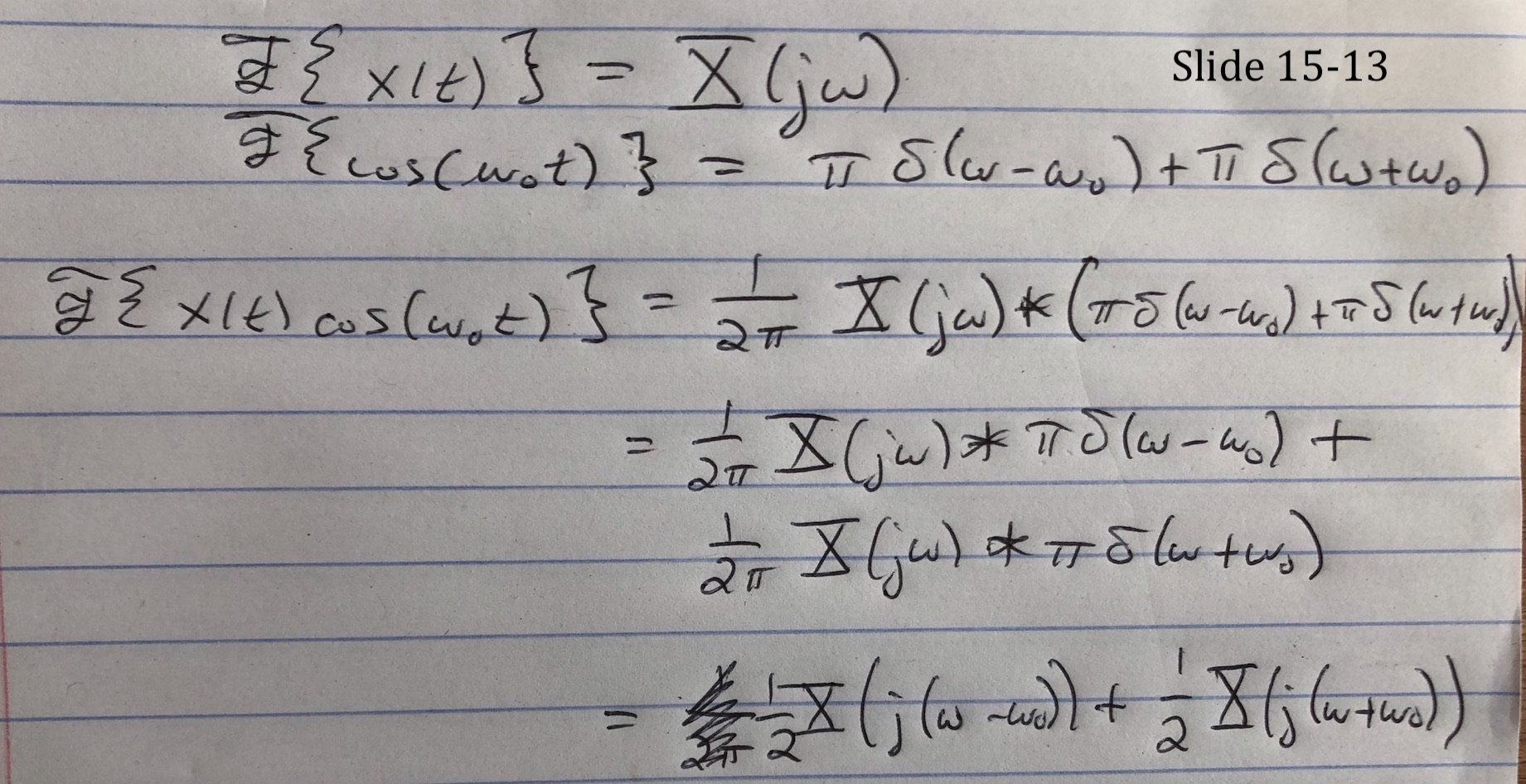
- The Scaling Property of the Fourier Transform (lecture slide 15-10) also shows the idea.
- In practice, we can only observe a signal x(t) for a finite amount of time,
T seconds.
Our observed signal is then x(t) rect((t - T/2)/T) where rect((t - T/2)/T) is
a rectangular pulse that lasts from 0 to T seconds.
Multiplication in the time domain means convolution in the frequency domain.
So, the frequency content of the signal x(t) under finite duration observation
will be a distorted version of the frequency content of x(t).
This is an example how observing a signal disturbs the signal.
Last updated 12/04/25.
Send comments to Prof. Evans at
bevans@ece.utexas.edu